你说的时间不曾流逝是什么意思?
概览
大概2年前,我对于自由意志的思考进入了更深的层次,我意识到,如果要思考自由的意义,那就要思考“因果必然”这个概念。
因果就是事件发生的前后顺序,而时间也是一种前后顺序,我忽然发现,我从没认真思考过,“因果必然”跟“时间”有什么关系,这似乎是不相干的两种层级,就像马路的铺装材质和司机的驾驶风格。
然后随着对时间的进一步深入了解,一点点的查阅相关资料,我渐渐明白,时间的存在方式,远远的超出了我的想象。
时间这东西,真的太牛逼了。
就哪怕是最大胆的虚构故事作者,最疯狂的搭建世界观的创世者,都想不出这么牛逼的设定。那么我接下来就在这篇文章中告诉你,在真实世界中,时间到底是个什么东西。
我们如何感知时间?
我们对时间的体验是如此的确定,我记得刚刚发生着的事,我也记得昨天发生的事,未来一定会通过现在变成过去。
关于时间有无数种比喻,我们常说时间就像一条河流,我们站在岸边,看光阴从远处流向我们,那是我们所说的未来,然后光阴来到我们面前,成为现在,最后不可阻挡的流走,变成过去,我们就这样被时间裹挟着进行着不断的运动与变化。
时间是一种如此真实的流动,一种如此的必然的流动,我们没有任何理由去怀疑什么。哪怕这个世界没了物质,空间中的时间依然在流逝,哪怕空间都不存在了,我们的理性都会坚信,那里还有时间。
那么我们具体是通过什么体验时间的呢?
第一,就是我们的记忆,我们至少在一秒一秒的更新我们的记忆,我们就像一个贪吃蛇,每多一段时间,我们的记忆就必然长一点,我们可以自然的通过记忆来感受时间的流逝。
第二,是预期,我们总是知道下一秒大概率发生什么,我们的理性对于下一秒是非常自信的,只要没有意外,那就一定会是这个样子,而且哪怕是意外,其实也是意料内的意外,我下一秒可能意外的在路上捡到钱,但绝对不会发生一件“我无法想象”的事情。
第三,是对万事万物的发展方向的精准判断,如果一个玻璃杯摔碎了,我们不会说它刚造出来就是这样,我们只会说再去买一个新的,而不会说等一等,可能有一个意外让它重新变回完整的玻璃杯。
所以,我们的记忆,我们的预测,以及对周围事物的变化的观察共同构成了我们对时间的感受。
为什么时间可以不流逝?
我们再具体的思考一下。
我们的记忆就是时间么?我们对于未来的预期就是时间么?周围事物的变化趋势就是时间么?
这里我们引入一个思想实验。
我们可以考虑一种特别常规的时间循环模型,我们已经在无数的作品中见过,我们这样设定,某月的5号到15号,由于某种未知的原因,整个宇宙陷入了循环,这10天,240个小时,世界在不断的重复。
那具体是如何重复的呢?方法也特别常规的,就是将5号0点时整个世界的状态作为一种存档,然后世界自由发展,10天之后,也就是15号0点,无论世界变成了怎样,世界精准的重新读档5号0点,每一个原子的状态都没有丝毫差别。这样形成一个循环。
第一个问题:如果不是主角,只是路人的话,能察觉到时间循环么?
当然不能。记忆是由5号0点的存档提供的,意识是察觉不到区别的。
那对未来的感知也一样,15号0点意识在一瞬间被调整成10天前,意识在还没有感觉到未来时就消失了,或者说还没意识到“我没有进入未来”这件事的时候,意识就湮灭了,这个循环中的最后一刻和开始的第一刻之间没有任何连续性,自然也不会察觉到什么。
周围事物的变化同理,一切都按照物理规律演化,所以也察觉不到。非常合理,故事里都这么演的。
第二个问题:这个循环中有时间么?
当然有了。没有时间,那读档后世界将会陷入永恒的静止,也就不可能有循环了,这个世界虽然不像我们拥有无限的时间,但他们至少拥有10天的时间。我们的时间像海洋里的水,而这里的时间像海绵里的水。
有趣的地方来了,我们就来挤一挤这海绵里的水,看会发生什么。我们先把循环缩短到一天,就是5号到6号,在这24小时内循环。
意识能察觉呢?不能,意识依然会感觉到时间的流逝,时间存在么?存在,只是变得更短了。
那如果循环只有一小时呢?只有一秒呢?
根据推论,哪怕循环只有一秒,记忆,预测,对周围的感知,都不会有任何不同,所以我们不可能意识循环的存在。
那如果继续缩短呢?目前物理学的理论认为,时间一定存在一个有意义的最小单位,比这个更短的时间是无意义的,就是普朗克时间。

这个具体有多短,我们就不讨论了,我们可以从理解的层面认为,这个时间单位就是一刻,或者说一帧,这就是最短的时间,不存在任何瞬间比一帧更短。
一秒相比于一帧都是可以算是永恒了,那我们缩短到10帧的循环,意识能察觉么?不能,因为这个本质上跟10天没有区别。
那2帧?意识能察觉么?也不能。意识能依然感觉到时间的流逝,因为记忆,预期,感知都包含在了这2帧里。
很好,那1帧呢?
对,朋友,对的,依然不能,因为这永恒静止的一帧里,包含了对过去的记忆的数据,以及对未来的预期的数据,以及对周围感知的数据,那我们就不能分辨出来时间是流逝的,还是循环的,还是静止的。
欢迎来到这个世界最疯狂的,也是最让人丧失理智的底层结构。
时间其实并没有真的在流逝,只是很多很多很多很多,按因果顺序排列的静态的帧,组成了我们对时间的全部感知。
————Albert Einstein(1955)
这每一帧里包含了我们一切的记忆,一切的预测,以及一切的对周围事物的变化的观察。人生像一场电影,不是一种比喻,而是对时间这个事物的最准确的描述,时间甚至都不曾流动过。
所以,这个世界的真相是,
时间在流逝,其实是你人生中最大最大最大的幻觉。
怎么理解在时间不流逝的情况下世界依旧可以变化?
不是,等会儿,不对,这绝对不对。
我们的世界必然是演化过来的,正是因为过去一切的因,才形成了现在一起切的果。比如我们正是因为早饭吃的很饱,所以中午不饿,我们中午的不饿是从早上演化过来的,怎么能说时间不存在呢?不存在还怎么演化呢?
那么我们再进行一个类比的思想实验。
我非常喜欢将时间的帧序列和斐波那契数列的项序列,进行类比。斐波那契数列,即每一项都是前两项的和,数列的最初两项为1和1。以下是斐波那契数列的前几项。
这个数列与时间存在非常多的相似之处,比如,第26项一定是前25项累计计算的结果,第26项包含了前25项的全部信息,这与我们对待过去的态度是非相似的。再比如,人类的大脑无法直接给出第26项的值,但可以给出一个范围,我们可以确定第26项不可能等于“凑合着过吧,还能离咋地?”,第26项一定是个正整数,第26项,可能很大,应该不会非常非常非常大,等等之类的推论,这跟我们对待未来的态度十分相似。
这是用于说明时间的流逝性的相当好的例子了,那些前置项的数值的运算过程,就是时间流过的证据。
我们对于时间的感受就类似斐波那契数列,时间应该是是一帧帧的运算出来的,没有上一帧的信息,下一帧就不可能得到。我们必须先计算过去,才得到现在。只有当现在被计算出来,未来才能开始计算,时间就像金字塔,必须有塔底,才能有塔顶。
但,其实,
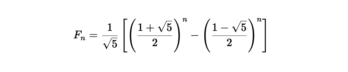
斐波那契数列是有通项公式的。
这就是它的通项公式。

也就是说你想知道第26项的值是多少,你真的不必非得把前25项都计算出来。
我们并不需要计算出第24项为“46368”,然后再计算出第25项为“75025”,相加后才能得到第26项“121393”,我们可以直接用通项公式计算得到无理数121393.0000016....然后按最接近整数取整,直接得到“121393”,你完全不需要任何的累计计算。
那么,对于“121393”来说,它无法区分自己是被逐项加出来,还是经过通项公式计算就得到的,因为“121393”就是“121393”,虽然包含了所有前项的信息,但并不包含计算方式的信息。
所以我们又有什么理由认为这个世界必须通过某种“逐项累计”来逐步形成呢?尤其到目前为止,那帮最聪明的人(物理学家们)甚至都没找到,哪怕一点点的,世界是逐步形成的证据。
是的,哪怕连个可能的暗示,都没找到。
描述时空的爱因斯坦场方程,描述量子力学的惠勒-德威特方程,等等之类,都没有任何参数要求存在一个逐步累计的运算,即名为“时间”的变量。就像斐波那契数列的通项公式,你总能直接得到任意项的值。
所以,时间可以不存在,不但是“可以不存在”,更癫狂的是,我们至今依然没找到,时间真的存在的证据......
时间循环的思想实验告诉我们,我们对于流逝的体验可以基于不连续的一帧帧的状态,通项公式的思想实验告诉我们,哪怕这一帧帧状态不按顺序生成,也能让我们产生流逝的体验。
至此,时间的流逝性,彻底消失。
时间不流逝之后的有趣推论1:过去并不会消失
人生如电影,由每一帧组成,这个比喻在一定程度上是贴切的。
就如同电影并不会因为你播放到了中间,而导致前边的数据消失,没有什么电影是一次性的。这个包含着所有“过去”,“现在”以及“未来”的帧数据的集合被叫做时空连续统(Kontinuum)。
特别注意,这个时空连续统不是某种概念,某种抽象,而是一种实实在在的客观物体,这个物体虽然不具有我们能认知到的,质量,密度,温度等属性,但其具体性与真实性,就如你现在站立的大地一样坚实。
我们就位于这个时空连续统的内部。而这个时空连续统的最大特征就是,它是永恒静止的,不会再有任何变化的(至少目前物理学这么认为)。
大概想象一个形状的话,就像,你拍摄一个运动中的小汽车,你拍摄越多张,小汽车整体形状看就越像是一长条直线,这个静止的长条,就是我们世界真实的形状。也就是说,我们所遗忘的一切,我们所失去的一切,都没有消逝,只不过是位于这个时空连续统的“前部”,而将来位于这个连续统的“后部”。
当我们身处幸福之中,默默许下愿望,愿此刻永恒的时候,时空连续统永恒的静止在那里,所以我们都可以安心了,因为此刻真就是永恒的。
同样的,每一刻都是永恒的。
你所有失去的人,被迫分别的人,没来得及说再见的人,都没有失去,都没有离开,他们只是永恒的停留在了连续统的前部,停留在了“现在”的你触碰不到的地方。
但他们还在,一直都在。
时间不流逝之后的有趣推论2:未来已经存在,甚至可能“早于”现在存在
人生如电影,由每一帧组成,这个比喻在一定程度上又不太贴切的。因为电影至少还有一个比较顺序化的制作过程。
但时空连续统的“生成”顺序可就不一定了,我们为了方便称呼,先称呼我们这个时空连续统的生成工具叫世界。
世界有自己的顺序,那么它先生成哪一项,后生成哪一项是完全不可感知的,作为一部电影,电影的结尾被“最先”拍出来还是在“中期”拍出来,对于我们来说,没有区别,都可以称之为是“时间之外”。还记得斐波那契数列么?通项公式“优先”生成哪一项,项本身是不可能知道。
也就是有可能,下一秒的你,可能在时间之外的“百亿年前”已经生成了,而你小时候摔倒在水坑里的那一刻,可能在时间之外的“千年之后”才开始生成。
我们只能在数列内感受数列本身的前后关系,而每一项产生的顺序,我们一无所知。
甚至更夸张的可能性是,世界在生成完现在这一刻的你后,世界就去生成别的东西去了,你其实陷入了“静止”。
世界去生成了万万万亿个宇宙的创世,发展直到湮灭。
然后世界又去生成了这些宇宙中万万万亿个文明的诞生,辉煌,直到消亡。
最后世界又生成了每个文明中万万万亿个个体的降世,痛苦与幸福,直到死去。
然后,它才回来,继续生成你的下一刻。
在你无法感知的,如光如电的刹那间,世界有无量生,而后无量灭,但你永远都不会知道,永远都不会。
时间不流逝之后的有趣推论3:其实我们的一生只有现在,是所有的现在组成的,所有的现在“同时”存在
虽然世界的哪些宏伟或者震撼的行为永远的远超我们的理解与想象,但我们自己的一生依然由我们的微小体验所组成。
那当过去和未来都不存在后,我们的一生又是如何构成我们对“现在”的体验呢?
答案是,只有现在,每一刻的现在,同时存在。
这是了解了时空连续统后,最让我震撼的推论。
就是说,实际上你这一生的时间,或者说位于每一刻中的你,都在永恒的经历“现在”。“现在”这个东西,不是只有一个,恰恰相反,有无数多个现在。时间其实从来都没有过去,也没有未来,只有现在。
你此刻感受一下现在,对,如此明确。你在这一刻清晰的感觉到了现在。
这一刻,那个并不知道自己将会走过怎样的一生的受精卵,也感觉到了现在。
这一刻,那个还在抱着温热的奶瓶喝奶的你,也感觉到了现在。
这一刻,那个坐在高考教室里紧张答题的你,也感觉到了现在。
这一刻,那个第一次参加工作聚餐,心里有点烦,但又觉得有点新奇的你,也感觉到了现在。
这一刻,那个与爱人相拥而眠,在想我怎么会这么幸福,觉得能诞生在这世界上真的太好了的你,也感觉到了现在。
这一刻,那个抱着刚刚出生的孩子,手忙脚乱的摇晃着襁褓的你,也感觉到了现在。
这一刻,那个看着孩子第一次离家远行,你抱着呜咽的爱人,擦了一下眼角的泪痕的你,也感觉到了现在。
这一刻,那个听说孙女要回来,忙着翻菜谱,想张罗一道好菜的你,也感觉到了现在。
在最后的最后,那个躺在病床上,叹息着这衰老的身体,苦恼着浑身的憋胀,想着也不知道还能不能再看到春天的太阳的你,也感觉到了现在。
这全部的你,都与此刻的你一起,同时感受着这永恒的现在。
时间公平的对待着你的每一个现在。
时间不流逝之后的有趣推论4:我们永远不会“死亡”
既然理解了,我们这一生只有现在,也就理解我们这一生可以看作一部已经拍完,且无法修改的电影。
在这部永恒静止的“躺在磁盘里”的电影中,却让我们奇妙的体验到了“现在”这种流逝的感觉。那么当“我”这个序列变化到化为尘埃的那一刻,我们就可以说,我们的生命结束了,但我们不是消失了。
那个感受着现在的你,依旧在感受着。
就像一本书,总有写完的那一页,但我们合上书,书并不会消逝,它只是写到最后了。所以即便我们都有死去的那一天,那我们也不会消失,我们永远都活在现在里。这是一种非常微妙的推论,因为我们永远不可能体验“无意识”(即便在某些设定中存在灵魂,可以脱离肉体,但,灵魂依旧是一种“有意识”)。那我们就必然只能体验永恒的活着。
所以我们其实是永生的,至少在我们的体验中。
时间不流逝之后的有趣推论5:那么我们还有自由意志么?
那我们都是一部已经拍好的,而且永远不会再改的电影,那岂不是一切都是注定的,那我们还有自由意志么?那我们活着或者死了又有什么区别?
有的,兄弟真的有的。
书只是个比喻,电影只是个比喻,斐波那契数列也只是个比喻。更接近真实的情况是,当我们面临选择时,本质是这个世界的因果序列不再是单线程了,事件的序列遇到了分支。
你可以用galgame来理解,galgame就是一种类似阅读小说的游戏,跟传统小说不同的是,当你读到关键段落时,比如主角面临一个是去救人还是自保的选择,小说的话主角只能做出一个唯一的决定,然后故事继续发展下去。但galgame不同,它会跳出选项,你可以选择救人,也可以选择自保,这两条故事的后续发展结果都已经写好了,你只是去选择要阅读哪条故事线,当然在galgame里,善用存档就能让你读到所有的故事线。
这就是序列分支,人的一生就像一颗完整的永恒的大树,树上的每一个枝叉,就是我们每一次面临选择时给出的不同答案,我们确实没有真正创造选项的自由意志,因为所有可能的选项都已经被世界所创建完毕了。但我们绝对有选择体验哪条故事线的自由意志。
我们能决定自己要成为什么样的人,我们也能决定自己如何对待这个世界。
虽然我们必然体验所有分支,必然体验所有现在,但是,此刻的“我”在这棵树的哪个位置,一定是“我”自己可以主观去决定的。恰恰由于我不可能体验整棵树,所以,体验哪个分支就变得非常非常重要。
人生就是一款还没走几步就一个选项的超多结局且绝对没有存档的终极粪作。
而主观能动性就是能让我们在这款终极粪作中打出happy ending的唯一手段了。
时间不流逝之后的有趣推论6:我即是宇宙本身
我们刚在讨论的是狭义中,以“我”这个个体作为主轴,来研究时间的问题。那么我们来思考一些更宽广的问题,宇宙根据通项公式生成了第26项,那对于真实宇宙来说到底需要生成多大范围的数据,才能正确的计算出第26帧中的我对于“现在”的体验呢?
先假设世界计算我们的每一刻的“现在”,就只选取一个房间的范围,世界的通项公式只生成所有位于房间内的序列,房间外的序列,世界并不管,这是一种节约计算资源的优秀方式。
这样的话,我们在被窝里窝一天固然可以,但如果考虑到有人可能会打电话,这个方法就明显有问题了,因为只计算房间内,那可能永远都不会有人给我们打电话了,因为电话必然源于房间外,不计算就不产生影响。
所以,为了符合我们对世界的经验,这个范围必定很大,那就大胆点一些,地球范围够大了吧,但这样意味着我们观察不到太阳的任何变化。
那银河系呢?那本超星系团呢?那直到时空的尽头与起点,那名为微波背景辐射的创世的余晖呢?
所以结论就很简单了。
世界计算这一刻的你的生成范围是,以你自己为球心,直径为930亿光年的可观测宇宙中的一切,所有的一切。这一刻中,可观测宇宙里的每一个原子的状态都必须需具有逻辑一致性。
所以,每一刻中的我们彼此之间都是一个整体,我们与整个宇宙也是一个整体。
就像斐波那契数列第26项121393一样,位于十位的“9”必然与位于千位的“1”是一个整体,9不能改变,1也不能改变,位于的位置也不能改变。由于“9”跟每一个部分都是不能改变的关系,也就自然的跟整个“121393”是一个不能改变的整体。
换句话说,你的现在这一刻,其实是整个宇宙的现在的这一刻,由于外在的生成通项公式必须保证全部因果的连续性,所以你必然是跟宇宙一起计算的,你当下的状态就包含了全部宇宙的信息,宇宙当下的状态也就包含你的全部信息。
正在阅读这篇文章的朋友啊,我永远也不可能知道,你们是谁,是在何时,以何种方式,又为何会阅读到这篇文章。但我知道,我们彼此都是必然的,我们都是这世界本身。我写下这篇文章的这一刻,与你阅读到这里的的这一刻,就是我们彼此之间那超越一切的坚固联系,是整个可观测宇宙930亿光年内的必然的联系。
我们本身就是宇宙,宇宙本身就是我们。
时间不流逝之后的有趣推论7:因果意义消失后的时间旅行与时间轮回
我们刚刚考虑了空间的整体性必然性,那我们接着思考一下时间的整体性必然性。由于一切现象的“因果关系”本质都是由序列外的计算过程所导致的,所以一切时间都是整体必然的。
这就导致我们能看到的所有一切,都是“前后关系”,而不是“因果关系”,我们看到的一切其实都是“果”,我们看不到真正的“因”,通项公式本身我们是看不到的。
如果所有的现象都是结果,那么对因果的描述就失去了意义,我们甚至可以任意的描述因果,这在时空连续统的必然性中甚至都是“合理的”。
从时空必然性考虑,因为,我现在喝了一杯水,所以,恐龙灭绝了。
从时空必然性考虑,因为,李白写了《将进酒》,所以,我现在还没有因为从天而降的井盖而受伤。
从时空必然性考虑,因为,河边种的一颗桦树疏于管理逐渐枯萎,所以,近几年大模型的发展突飞猛进。
从时空整体性考虑,并不是因为父母结婚,我们才会诞生,父母结婚,和我们的诞生,都是结果,所以没有“因果关系”,没有前因导致了后果。所有的因已经存在,所以我们诞生这个事件必然存在,我们父母结婚这个事件也必然存在(指的所有时间枝必然会诞生,所有的时间枝也必然被体验)。
这就是因果的消失,真正的因我们看不到,能接触到的全结果,结果之间也就没所谓的“导致”了。
那么,时间旅行能存在么?是可以的,但也是必然的。
比如祖父悖论,我们就可以这么理解,你可以回到过去杀死你的仍处于婴儿期的祖父,你也不会消失,因为有一条时间枝的序列要求你必然会回到过去,杀死你的祖父。也必然有一条时间枝是你祖父活下来,然后让你父亲诞生。我们只能说某条时间枝的你祖父的死发生在你诞生之后,世界上只有前后关系,没有因果关系。
那么,时间轮回能存在么?是可以的,但也是必然的。
轮回的问题更加有趣,就是序列允许回路,但不一定允许观察回路,直接观察回路就如同斐波那契数列的一个项,直接“看到”全部的通项公式是一个意思,是不太可能的。所以轮回更可能的体验是,永恒的处于轮回之中,而永恒不可能知道自己在轮回。
这就是时空连续统中的事件发生顺序,没有因果,只有前后,时间枝的分裂与回路允许时间旅行与时间轮回的可能性,但也是整体必然的。
结语
这就是我了解到时间不存在后,去思考时间如何能不存在,以及不存在后这个世界应该是什么样子,而得到的全部结论。
这些结论时时刻刻在提醒我,我每一刻看到的如此平凡的日常,是如此的不平凡,是如此的不日常。甚至可以说我所知道的最伟大的,最诡异的,最匪夷所思的,最震撼的事物,就是这平凡的日常了。
日常远远比小说更离奇,要离奇的多的多。
其实很多更基础原理的推导过程因为篇幅原因我忽略了,其中最为核心的就是,为什么单个项不可能看到通项公式的全貌,为什么只能看到计算的结果。具体解答可以看这篇,尤其是关于计算有界性与观察者的论述。
(文章还在酝酿,什么时候能酝酿好,不好说,先占个位)
这篇关于时间是什么的随笔,决不是任何科普类文章。只是对个人的思考进行了随笔式的总结。
那就祝愿,每个“现在”阅读到这里的人们,都能在宇宙中找到属于自己的“现在”。
一即一切,一切即一。
言语道断,非去来今。